Ejercicios resueltos de fracciones algebraicas II
Multiplicación de fracciones algebraicas:



![]()
![]()
![]()







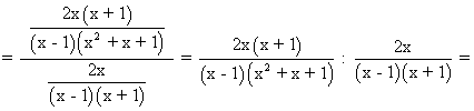
División de fracciones algebraicas:

![]()


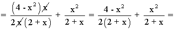
Efectua y simplifica las siguientes expresiones:








Efectua y simplifica las siguientes expresiones:










Efectua y simplifica las siguientes expresiones:






Efectua y simplifica las siguientes expresiones:








Realizamos la división:

También se puede hacer como el inverso de una fracción:



INICIO